
Qzone
微博
微信
权威性的Digital Foundry放出了NUC8i7HVK(8809G)对比测试,主要对手是台式机平台的GTX 1050Ti和1060,大哥RX570/580,以及移动平台的GTX 1060 Max-Q。
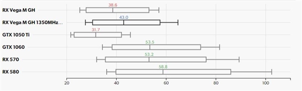
《刺客信条:大革命》1080p,Ultra High,FXAA(RX Vega M即为测试主角,1350MHz为超频版本,下同):
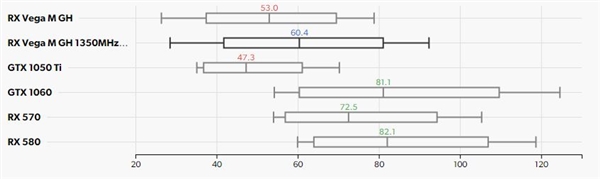
《奇点灰烬》1080p@DX12,Extreme,No AA:
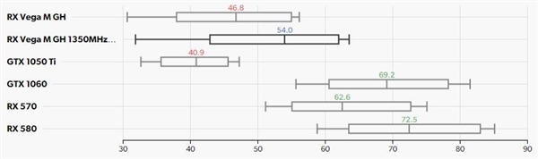
《战地1》1080p@DX12,Ultra,TAA:
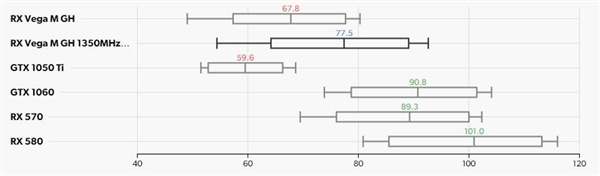
《孤岛危机3》1080p,Very High,SMAA T2X:
《全境封锁》1080p@DX12,Ultra,TAA:
《古墓丽影崛起》1080p@DX12,Very High,SMAA:
《狩魔猎人3》1080p@Ultra,Post-AA,无海飞丝:
重头戏,NUC vs 游戏本。
《刺客信条:大革命》1080p,Ultra High,FXAA:
《孤岛惊魂:原始杀戮》1080p,Ultra,SMAA:
《狩魔猎人3》1080p,Ultra,Post-AA,无海飞丝:
结论
冥王峡谷的使命显然不是办公,但从测试成绩来看,与配备了GTX 1060的游戏本相比似乎占不到多少便宜。
顾及到NVH因素,Intel并未将散热风扇的转速拉高到无法忍受的地步,由此带来的副作用是CPU满负荷工作时温度能达到90摄氏度——在许可范围内,但令人不安。
好在该机扩展性不错,可玩度较高,外观拉风且CPU实力强大(甚至过剩)。方寸之间蕴含如此威力,这在过去是不可想象的。
电影界2022-05-25 20:1905-25 20:19
电影界2022-05-25 20:1505-25 20:15
电影界2022-05-25 20:1505-25 20:15
电影界2022-05-25 19:5705-25 19:57
TOM2022-05-25 18:1805-25 18:18